仿大疆司空2面状航线生成——凸多边形区域航线生成算法详解
仿大疆司空2面状航线生成——凸多边形区域航线生成算法详解
一、前言
去年,在针对大疆上云API进行二次开发的过程中,有一个需求是实现大疆司空2中的面状航线功能。在经过上网搜索后,在github上找到了一个开源项目cpRPA(植保无人机凸多边形地块工作路线规划),可以实现面状航线的生成。
参考项目github地址:https://github.com/Char-Ten/cpRPA
经过对其中算法的研究,感觉其实现方式非常值得学习,遂用Java重新实现了相关的逻辑,将其中的关键算法思路整理到本篇博客中。

本篇博客仅作为学习整理使用,由AI总结生成,实际代码请查看原项目。
下面将详细整理这一算法的实现思路,涵盖坐标旋转、扫描线求交、面积计算等核心环节。
二、算法总体流程
输入:凸多边形顶点坐标、飞行间隔(space)、旋转角度(rotate)
│
┌─────────▼──────────┐
│ 1. 计算多边形边界框 │
└─────────┬──────────┘
│
┌───────────▼────────────┐
│ 2. 将多边形旋转 -rotate │
│ (使扫描线平行于纬线) │
└───────────┬────────────┘
│
┌───────────▼────────────┐
│ 3. 计算旋转后的边界框 │
└───────────┬────────────┘
│
┌───────────▼────────────┐
│ 4. 按间隔生成平行纬线 │
└───────────┬────────────┘
│
┌───────────▼────────────┐
│ 5. 每条纬线与多边形求交 │
│ 奇偶行交替方向(锯齿形) │
└───────────┬────────────┘
│
┌───────────▼────────────┐
│ 6. 将航线旋转回原始方向 │
└───────────┬────────────┘
│
┌───────────▼────────────┐
│ 7. 计算面积等统计信息 │
└───────────┴────────────┘
│
输出:航线航点列表、多边形面积、航线覆盖面积
先旋转再扫描原因: 因为扫描线逻辑固定为水平方向(平行纬线),如果用户希望航线方向是任意角度,就先把多边形反向旋转,在旋转后的坐标系中做水平扫描,最后再旋转回来。这样只需要实现水平扫描线一种逻辑。
三、核心算法详解
3.1 坐标旋转 — 等距柱状投影 + 2D仿射变换
经纬度是球面坐标,不能直接做平面旋转。算法采用等距柱状投影(Equirectangular Projection)将经纬度近似转为平面坐标,再进行旋转。
等距柱状投影的关键: 经度方向的实际距离与纬度有关,纬度越高,同样1度经度对应的实际距离越短。因此需要乘以 cos(纬度) 进行校正。
// 等距柱状投影:经度方向乘以 cos(纬度)
double cosLat = Math.cos(Math.toRadians(center.getLat()));
// 经纬度 -> 平面坐标
double px = point.getLng() * cosLat;
double py = point.getLat();
// 2D旋转变换
double rad = Math.toRadians(deg);
double newX = (px - cx) * cos(rad) - (py - cy) * sin(rad) + cx;
double newY = (px - cx) * sin(rad) + (py - cy) * cos(rad) + cy;
// 平面坐标 -> 经纬度
double newLng = newX / cosLat;
double newLat = newY;
原理: 标准的2D旋转公式,绕点 (cx, cy) 旋转角度 θ:

3.2 扫描线生成 — 按间隔划分平行纬线
根据旋转后多边形的南北边界和飞行间隔,计算需要多少条扫描线:
// 南北两端距离(米)
double distance = haversineDistance(nw, sw);
// 扫描线数量(除以2是因为锯齿形来回算两条航线宽度)
int steps = (int) (distance / space / 2);
// 每条扫描线之间的纬度差
double latStep = (nw.getLat() - sw.getLat()) / steps;
3.3 扫描线与多边形求交 — 核心扫描逻辑
对每条水平扫描线,遍历多边形的每条边,求交点:
/**
* 计算纬线 y 与线段 (p1, p2) 的交点
* p1, p2 格式: [lng, lat]
* 返回交点 [lng, lat],无交点返回 null
*/
private double[] createInlinePoint(double[] p1, double[] p2, double y) {
double s = p1[1] - p2[1];
if (s == 0) return null; // 水平边,无交点
// 线性插值求交点的经度
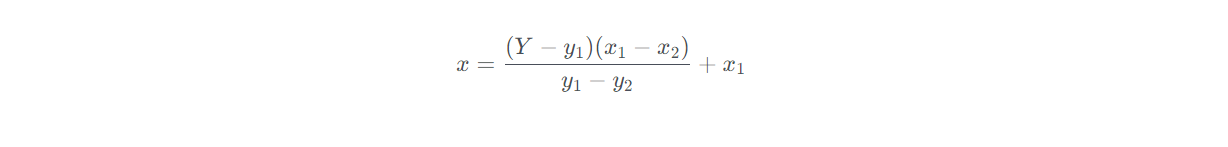
double x = (y - p1[1]) * (p1[0] - p2[0]) / s + p1[0];
// 检查交点是否在线段范围内
if (x > p1[0] && x > p2[0]) return null;
if (x < p1[0] && x < p2[0]) return null;
return new double[]{x, y};
}
几何原理: 已知线段两端点 (x1, y1) 和 (x2, y2),水平线 y = Y,由相似三角形得:

3.4 锯齿形路径生成
对于凸多边形,每条扫描线恰好得到两个交点。将这两个交点按奇偶行交替排列,形成锯齿形路径:
偶数行(第0, 2, 4...行):从左到右 →
奇数行(第1, 3, 5...行):从右到左 ←
for (int i = 0; i < latLine.len; i++) {
// ... 求出当前扫描线与多边形的两个交点 line[0], line[1] ...
if (i % 2 != 0) {
// 奇数行:先右后左
polyline.add(new LatLng(y, Math.max(lng1, lng2)));
polyline.add(new LatLng(y, Math.min(lng1, lng2)));
} else {
// 偶数行:先左后右
polyline.add(new LatLng(y, Math.min(lng1, lng2)));
polyline.add(new LatLng(y, Math.max(lng1, lng2)));
}
}
生成的航线示意:
┌──────────────────────┐
│ ·──────────────→· │
│ ·←──────────────· │
│ ·──────────→· │
│ ·←────────· │
└──────────────────────┘
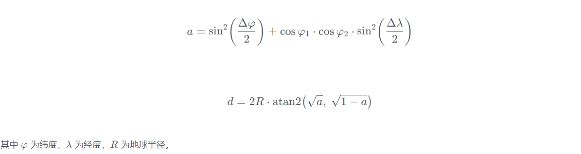
3.5 Haversine公式 — 球面距离计算
计算地球上两点间的距离,使用经典的 Haversine 公式:
private double haversineDistance(LatLng p1, LatLng p2) {
double lat1 = Math.toRadians(p1.getLat());
double lat2 = Math.toRadians(p2.getLat());
double dLat = Math.toRadians(p2.getLat() - p1.getLat());
double dLng = Math.toRadians(p2.getLng() - p1.getLng());
double a = sin(dLat/2) * sin(dLat/2)
+ cos(lat1) * cos(lat2) * sin(dLng/2) * sin(dLng/2);
double c = 2 * atan2(sqrt(a), sqrt(1-a));
return EARTH_RADIUS * c; // EARTH_RADIUS = 6371000 米
}
公式推导:

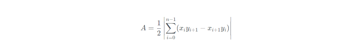
3.6 面积计算 — Shoelace公式
多边形面积采用 Shoelace(鞋带)公式,先将经纬度转换为米制平面坐标:
private double getPolygonArea(List polygon) {
double s = 0;
for (int i = 0; i < polygon.size(); i++) {
LatLng curr = polygon.get(i);
LatLng next = polygon.get((i + 1) % polygon.size());
// 经纬度转米制坐标
double x1 = curr.getLng() * lng2m(curr); // 1度经度 = 多少米
double y1 = curr.getLat() * lat2m(curr); // 1度纬度 = 多少米
double x2 = next.getLng() * lng2m(next);
double y2 = next.getLat() * lat2m(next);
s += x1 * y2 - y1 * x2; // 叉积累加
}
return Math.abs(s) / 2;
}
Shoelace公式:

四、前端凸多边形检测
后端算法仅适用于凸多边形,因此前端在用户绘制时实时检测凸性,使用叉积符号一致性判断:
function isConvex(pts) {
var n = pts.length;
if (n < 3) return true;
var sign = 0;
for (var i = 0; i < n; i++) {
var a = pts[i], b = pts[(i + 1) % n], c = pts[(i + 2) % n];
// 相邻三点的叉积
var cross = (b.lng - a.lng) * (c.lat - b.lat)
- (b.lat - a.lat) * (c.lng - b.lng);
if (cross !== 0) {
if (sign === 0) {
sign = cross > 0 ? 1 : -1;
} else if ((cross > 0 ? 1 : -1) !== sign) {
return false; // 叉积符号不一致,非凸多边形
}
}
}
return true;
}
原理: 沿多边形顶点依次取相邻三个点,计算向量叉积。如果所有叉积符号一致(全正或全负),说明多边形始终朝同一方向转弯,即为凸多边形;一旦出现符号不同,说明存在"凹陷"。
五、算法复杂度分析
| 步骤 | 时间复杂度 | 说明 |
|---|---|---|
| 计算边界框 | O(n) | 遍历所有顶点 |
| 坐标旋转 | O(n) | 逐点变换 |
| 扫描线求交 | O(s * n) | s条扫描线,每条遍历n条边 |
| 面积计算 | O(n) | Shoelface公式遍历顶点 |
其中 n 为多边形顶点数,s 为扫描线数量(= 区域高度 / 飞行间隔)。
实际场景中 n 通常 < 20,s 通常 < 1000,计算量很小,可以实时响应。
六、总结
本算法的核心思想是 "旋转-扫描-逆旋转":
- 通过坐标旋转,将任意角度的扫描问题统一为水平扫描
- 利用凸多边形的性质(每条扫描线恰好两个交点),简洁地生成锯齿形路径
- 逆旋转还原到真实坐标系
这种方法简洁高效,适用于无人机需要区域全覆盖飞行的场景。
原文地址: http://www.cveoy.top/t/topic/qGrd 著作权归作者所有。请勿转载和采集!