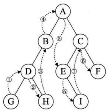
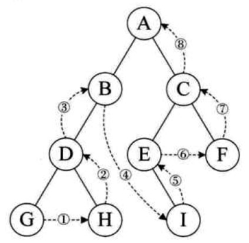
笔试必考————二叉树的三种遍历
前序遍历(根节点->左子树->右子树)

结果:ABDGHCEIF
中序遍历(左子树-根结点->右子树)

结果:GDHBAEICF
后序遍历(左子树->右子树->根结点)

结果:GHDBIE
笔试题



原文地址: https://www.cveoy.top/t/topic/qFWo 著作权归作者所有。请勿转载和采集!
安全问答是一个知识全球问答,包含丰富的问答知识






原文地址: https://www.cveoy.top/t/topic/qFWo 著作权归作者所有。请勿转载和采集!